Fig. 3
From: Risk factors and outcome of COVID-19 in patients with hematological malignancies

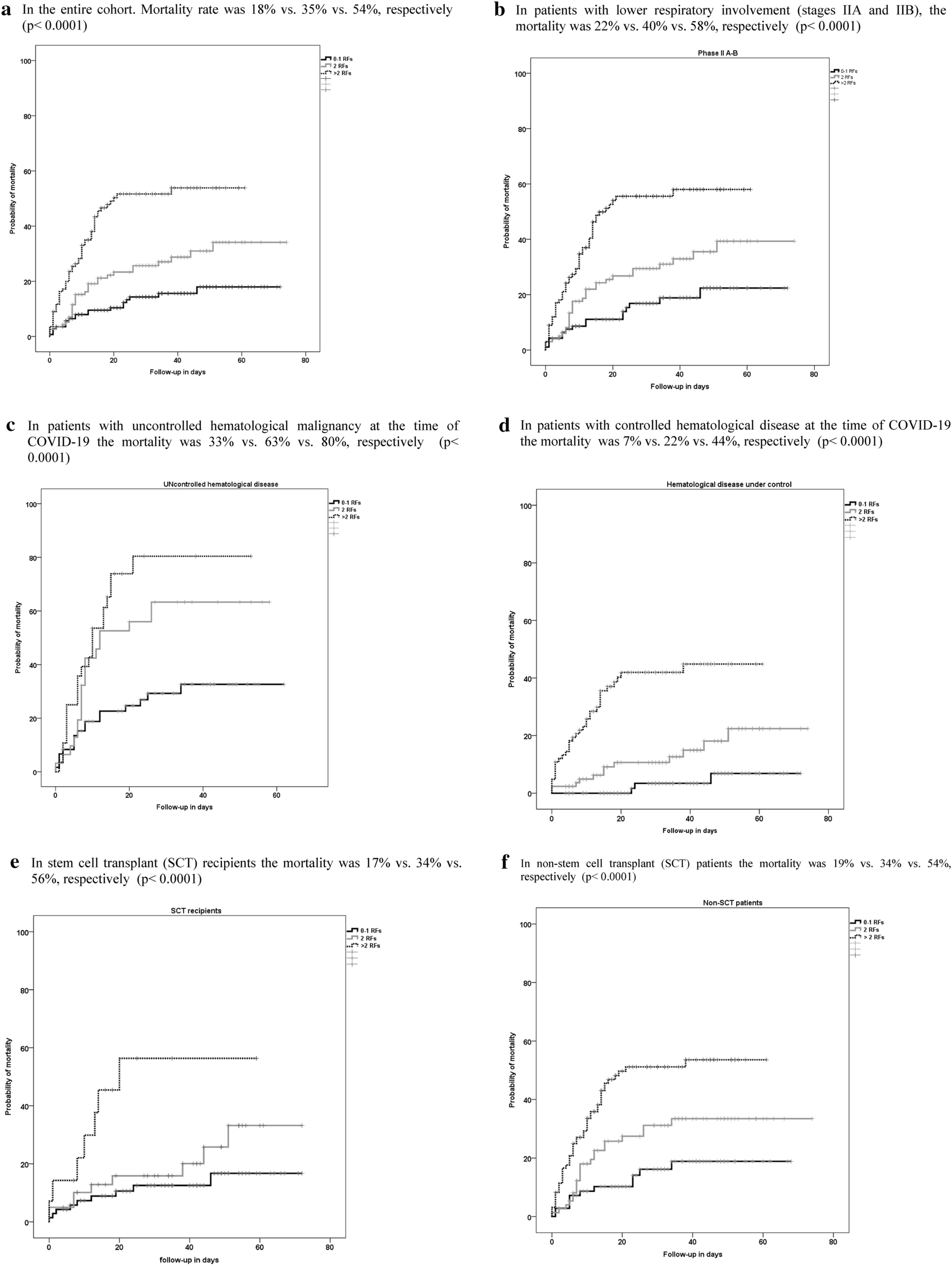
COVID-19-related mortality according to the presence of 0-1, 2 and > 2 risk factors. a In the entire cohort. Mortality rate was 18% vs. 35% vs. 54%, respectively (p < 0.0001). b In patients with lower respiratory involvement (stages IIA and IIB), the mortality was 22% vs. 40% vs. 58%, respectively (p < 0.0001). c In patients with uncontrolled hematological malignancy at the time of COVID-19 the mortality was 33% vs. 63% vs. 80%, respectively (p < 0.0001). d In patients with controlled hematological disease at the time of COVID-19 the mortality was 7% vs. 22% vs. 44%, respectively (p < 0.0001). e In stem cell transplant (SCT) recipients the mortality was 17% vs. 34% vs. 56%, respectively (p < 0.0001). f In non-stem cell transplant (SCT) patients the mortality was 19% vs. 34% vs. 54%, respectively (p < 0.0001)